Mã order: M128-25 (Đóng gói 11.2kg/thùng)
**CUNG CẤP MẪU TEST MIỄN PHÍ**
Liên hệ chúng tôi để được hỗ trợ
Bột phenolic còn được sử dụng trong ứng dụng đúc khuôn mẫu (compressing mounting) bởi phương pháp nén mẫu nóng (Hot mounting machine) trong qui trình chuẩn bị mẫu soi cấu trúc pha vật liệu và kiểm tra độ cứng.
Một số loại bột Phenolic /màu Phenolic cơ bản trên thị trường hiện nay như:



Bột đúc Phenolic màu đen Bột đúc Phenolic màu xanh Bột đúc Phenolic màu đỏ
( Black Phenolic powder) (Green Phenolic powder) (Red Phenolic Powder)
Phenolic có chịu được nhiệt không? (Is phenolic heat resistant?)
Nhựa phenolic được sử dụng rộng rãi trong đời sống và trong sản xuất vì dễ tìm Phenolic dạng nguyên liệu thô, giá thành rẻ, khả năng chịu nhiệt tốt, độ bền cơ học cao, hiệu suất ổn định.

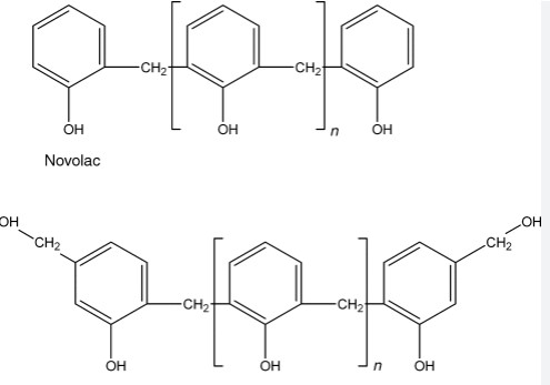
Cấu trúc liên kết hóa học của Phenolic powder
Vậy Phenolic có chịu được ăn mòn bởi hóa chất không?
Phenolics có khả năng kháng hóa chất tốt và có khả năng chống lại rượu, este, xeton, ete, hydrocacbon clo hóa, benzen, dầu khoáng, chất béo và dầu.
Phenolics có khả năng chống axit yếu và bazơ tốt nhưng kém khả năng chống axit và bazơ mạnh, nước sôi và tia cực tím.
Mã đặt hàng của bột đúc Phenolic và bột đúc nóng (hot mounting powder) khác quý khách hàng có thể order:
| HOT COMPRESSION MOUNTING | |||
| Type-Loại | Màu-Color | 5 LB (2.2Kg) | 25 LBS (11.2Kg) |
| Phenolic | Orange-Cam | M124 | M124-25 |
| Black-Đen | M126 | M126-25 | |
| Red-Đỏ | M127 | M127-25 | |
| Green-Xanh lá | M128 | M128-25 | |
| Lucite | Trong suốt | M125 | M125-25 |
| BLACK EPOXY COURSE/GLASS FILLED |
Black-Đen | M129C | M129C-25 |
| BLACK EPOXY FINE/GLASS |
Black-Đen | M129 | M129-25 |
| DIALLYL PHTHALATE MINERAL FILLED |
Blue-Xanh da trời | M130 | |
| DIALLYL PHTHALATE SHORT GLASS | Blue-Xanh da trời | M131 | |
| Green-Xanh lá | M132 | ||
| DIALLYL PHTHALATE MINERAL FILLED |
Blue-Xanh da trời | M130 | |
| CARBON FILLED POWDER | 1LB (0.45kg) | M134 | |
| NICKEL FILLED POWDER | 1LB (0.45kg) | M134-N | |
| COPPER FILLED POWDER | 1LB (0.45kg) | M134-C | |
Công ty TNHH Thương Mại Dịch Vụ IST là nhà phân phối độc quyền thương hiệu Metlab (Mỹ) tại thị trường Việt Nam.
Các sản phẩm của chúng tôi có giá cạnh tranh hơn so với các đối thủ khác cùng phân khúc trên thị trường như: Buehler, Allied, Struer...
>> Tham khảo thêm các vật tư chuẩn bị mẫu:
Vải đánh bóng (polishing cloth)
Tại đây
Dung dịch đánh bóng kim cương (Polycrystalline) & (Monocrystalline)
Tại đây
Bột đúc nóng
Tại đây
Epoxy đúc ngụi
Tại đây
Để biết thêm thông tin chi tiết về sản phẩm-dịch vụ của IST. Anh/chị vui lòng liên hệ với chúng tôi theo địa chỉ bên dưới.
Địa chỉ liên hệ:
------------------------------------------------------------------------------------------------
CÔNG TY TNHH THƯƠNG MẠI DỊCH VỤ IST
95 Đường 10, P.Phước Bình, Tp.Thủ Đức, Tp.HCM
Hotline: 0903.673.194 / Zalo: 0937.673.194
Email: sale@ist.com.vn - support@ist.com.vn
Website: www.ist.com.vn or www.ist.vn
Miễn phí vận chuyển
Với đơn hàng trên 100.000 đ
Bảo đảm chất lượng
Cam kết chính hãng 100%
Hỗ trợ 24/7
Gọi hotline: 0903 673 194
Cam kết chính hãng
Sản phẩm nhập khẩu 100% chính hãng